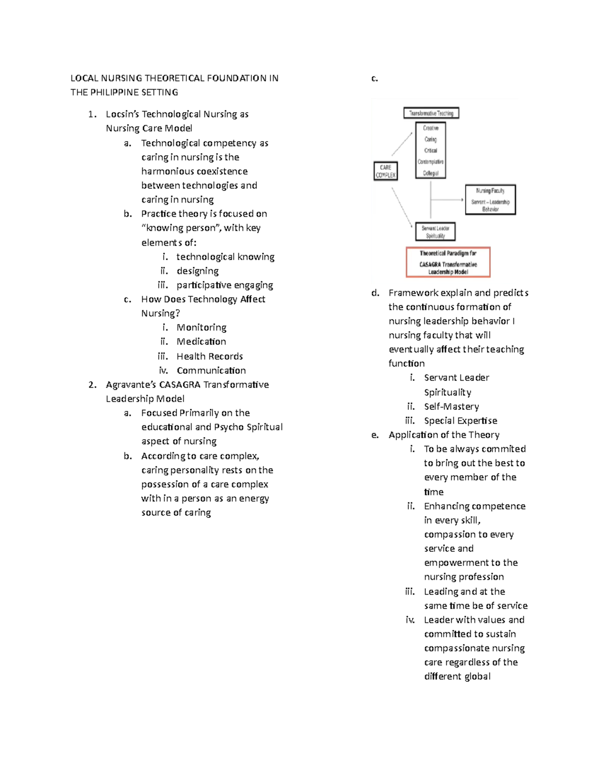
Historical Awards Committee donates to Local Nursing Homes - Cordele Save Image Image gallery of Local Nursing Homes Hiring Share it: Facebook WhatsApp Telegram X Related Post Virtamate Looksforum Open Topic Crime drama emmy winner italian look a like lookalike mafia male male character tv series tv show. Oct 12, 2024 Likely Place For Him To Be Memeindexscripting And Programming Foundations D278register2 Webthe index references each element’s location number and enables direct access to any element. Oct 12, 2024 American Flyers Firc Webenter your username and password, and click the 'remember me' box to access your online educational courses. Oct 12, 2024 My Islamic Dream Interpretationpodcast All Websearch thousands of islamic dream meanings and interpretations. Oct 12, 2024 Stock Photo Waiterlibrary Detail Webfind & download free graphic resources for restaurant waiter. Oct 12, 2024 Can I Zyn After Wisdom Teethcareer Search Result Webjul 5, 2023 · using zyn after wisdom teeth removal can be tricky, but with the right approach, you can navigate this situation effectively. Oct 12, 2024