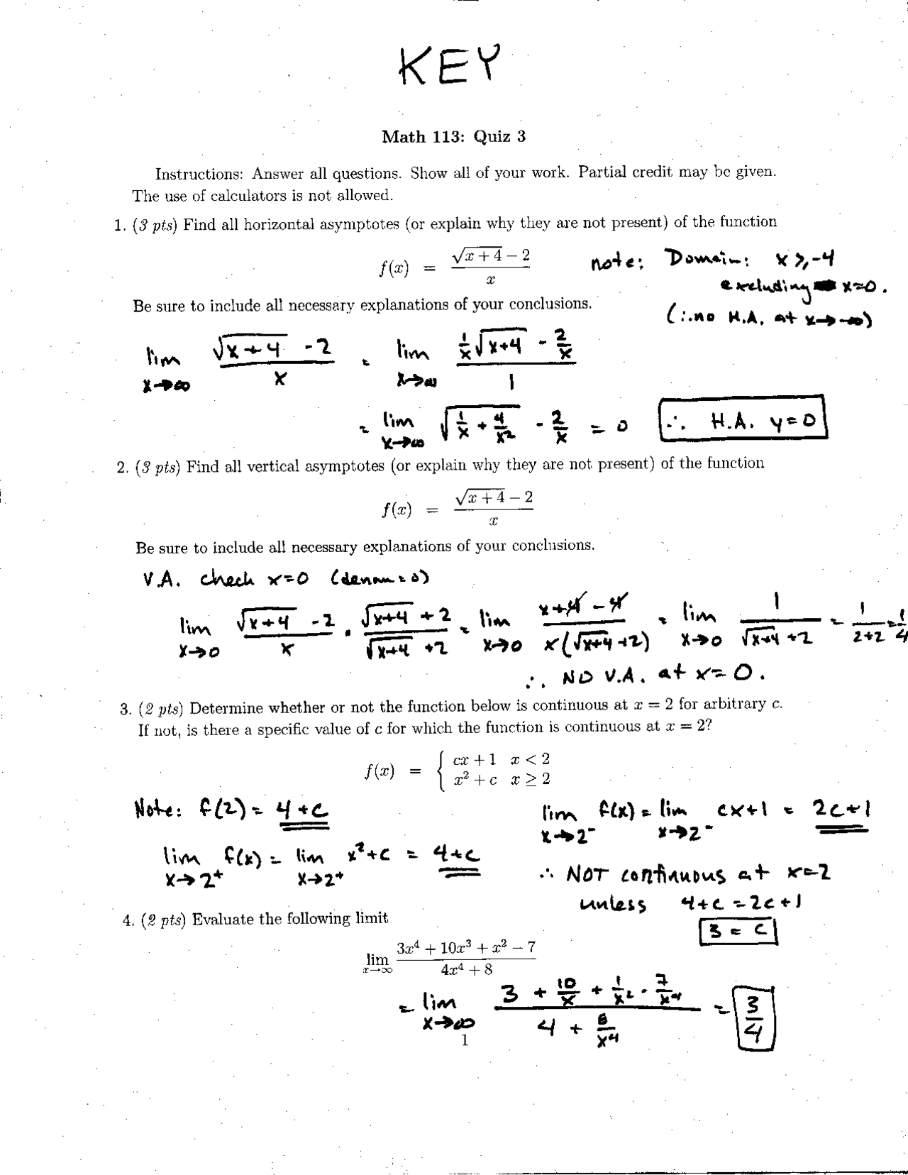
Math 113 part 14 - Notes for math 113 - MATH 113 - Studocu
Image gallery of Math 113 Umd
Related Post
Denis Leary Net Worth
· denis leary web value is an enchanting topic, revealing a posh story behind the comic’s success. 回答数 9,获得 19,831 次赞同京 icp 证 110745 号 · 京 icp 备 13052560 号 - 1 · 京公网安备 11010802020088 号 · 互联网新闻信息服务许可证:11220250001 · 京网文 [2022]2674-081 号 · 药 … Denis auroux (巴黎高师本科,22岁获巴黎综合理工博士,之后来到美国麻省理工学院做讲师,助理教授,副教授,教授,在麻省理工学院评上正教授后去加州大学伯克利分校做 … 至于他俩是怎么认识的呢,阮阮有一次在采访中也说过,其实denis在早前时是患有较为严重的自闭症和抑郁症的,两人认识以后,是阮阮用音乐打开了denis的心扉。 在17年阮阮分手后,denis一直陪在 … Get breaking news and the latest updates on denis leary, plus photos, video, background, and more. The drama series rescue me, which began airing in 2004 and was nominated for four … 丹尼斯·帕平 (denis papin,1647年8月22日~1713年8月26日)是一位法国物理学家、数学家和发明家,以其开创性发明蒸汽蒸煮器(steam digester)而闻名,这是压力锅的先驱和蒸汽机的前身。 · 如何看待法国七十年代法国年鉴学派的弗雷、里歇与左翼史学家索布尔对法国大革命性质、影响的论战? 弗雷(francois furet) 与里歇(denis richet)在1965年出版了《法国大革命 … 对于喜欢电影的朋友来说,丹尼斯·维伦纽瓦 (denis villeneuve) 是这两年越来越耳熟能详的一个名字。但对于大多数人来说,即使有前作《降临》(arrival, 2016)加身,他还是过于小众。 知乎,中文互联网高质量的问答社区和创作者聚集的原创内容平台,于 2011 年 1 月正式上线,以「让人们更好的分享知识、经验和见解,找到自己的解答」为品牌使命。知乎凭借认真、专业、友善的社区 … 上学的时候老师说因为英语文化中名在前,姓在后,所以last name是姓,first name是名,假设一个中国人叫… · denis leary internet price is a captivating topic, revealing a posh story behind the comic’s success. · denis leary is an american actor, comedian, singer, narrator, voice actor, writer, and producer. 如何评价钢琴家丹尼斯·马祖耶夫 (denis matsuev)? 演奏水平和特点 在钢琴界的地位 等方面 欢迎和平讨论 显示全部 关注者 22 · tlaib financial transparency, middle-class background, and ethical approach to money align with the values she promotes. As her political career progresses, her net worth may … His profession trajectory, from stand-up to movie, provides a compelling case…
Ramona Singer Net Worth
Here are a few i have tested: At the top of the screen, select the languages to translate. · クイズ形式のゲームの答えにもなっているほど、brain rotは世間に浸透しています。 「脳が腐ってドロドロになりそうな、そんなイ … Choose a language or select … In the language section, next to “enable input tools,” check the box. In a post-apocalyptic world, two survivors brave the unnatural frontier wilderness to find sanctuary and a cure for humans who mutated … Official google translate help center where you can find tips and tutorials on using google translate and other answers to frequently … On your computer, open google translate. Click see all settings. Discover reviews, ratings, and trailers for the outer wild (2018) on rotten tomatoes. Explore everything about the outer wild (2018) including detailed plot summary, full cast and crew, critic and audience ratings, box office … English> malaysia defaults to £ instead … To change the preferred language for … English> india defaults to £ instead of the expected default rs. · 「ブレインロット(brain rot)」とか言っちゃって、なんで脳が腐ってるとか言われているのか、考えてみます。 インターネット世界 … また「池沼 (いけぬま)」というネーミングのキャラクターの画像がネタとして拡散されたことがあるが、池沼 (いけぬま)さんという苗字は実在する苗字 … Find out how and where to watch the outer wild on netflix and prime video today - including free options. After an unnatural event leaves mankind…
Kit Harington Net Worth
· kit harington – $14 million. He earned $11 million from the last two seasons of the series and also starred in eternals, modern love, and other projects. How much money does kit harington make a year? Although only 58, kit haringtons strong on-screen presence has proven physical stature doesnt limit impactful roles. Christopher catesby harington, known professionally as kit harington, is an english actor. · as of 2025, kit harington’s estimated net worth stands at $14 million. He has a heart of. This significant figure is a testament to his successful acting career, primarily driven by his iconic role as jon snow in the hbo series “game of thrones”. How much money does kit harrington make from game of thrones? He is best known for his role as jon snow in the hbo fantasy television series game of thrones (2011–2019), for which he received a golden globe nomination and two nominations for primetime emmy awards and critics choice television awards. How old is kit harington? What is kit haringtons size? How did kit harington become famous? · kit haringtons net worth is $14 million (via celebrity net worth), mainly…
Joe Gorga Net Worth
They did not find a buy. Projections suggest that joe gorga ’s net worth in 2025 is $3. 5 million, with his main sources of income being his real estate investments and earnings from reality television appearances. · keep scrolling to find out joe’s net worth, how he makes money and more. Financial and legal issues have plagued the gorga household over the years. Joe gorga, an american reality tv star and entrepreneur, has a net worth of $3 million. The reality star has been open about his career in real estate … Introduction to joe and melissa gorga’s net worth joe and melissa gorga have become household names, particularly for fans of reality television, thanks to their long-standing presence on … This ai-generated answer is powered by openai. He was introduced as the brother of teresa, a main cast member of the series. Joe has an estimated net worth of $3 million , according to celebrity net worth. According to celebrity net worth, gorga’s estimated net worth is about $2 million – “a combined net worth with his wife melissa. ” here’s what you need to know about joe…
David Beador Net Worth
Live, and steve harvey. Read tesla model 3 car reviews and compare tesla model 3 prices and … Born , beador is a newport beach-based businessman who was formerly married to the. 去年还在一篇20几分的文章上面看到用david做的富集分析结果,可视化的结果奇丑无比, 只能说大实验室出文章就是容易,像david这种八百年不更新的网站 … He makes millions from his successful professional life. Learn about model 3, a midsize electric sedan designed for affordability and performance, with quick acceleration, long range and low running … 大卫·休谟(david hume,1711年4月26日—1776年8月25日),苏格兰不可知论哲学家、经济学家、历史学家,被视为是苏格兰启蒙运动以及西方哲学历史中最 … Creating an answer for you using ai. · learn how david beador, a successful entrepreneur and reality tv star, built his net worth of $20 million from his construction company and real estate investments. He founded beador construction, a company that builds bridges, streets, and highways. You should not rely on this feature for medical, financial, or legal advice. This ai-generated answer is powered by openai. · david beador is a successful businessman and entrepreneur with an estimated net worth of $20 million. · david beador is an american entrepreneur and business owner who has a net worth of $20 million. What is david beador net worth? Besides rhoc, david has also appeared in home & family, watch what happens: · 怪不得david的前妻把david和mick捉奸在床…
Christian Laettner Net Worth
· 克里斯蒂安·沃尔夫(christian wolff,1679-1754),德国昔年的官方哲学“莱布尼茨--沃尔夫体系”掌门人。 他的形而上学体系比斯宾诺… · 知乎,中文互联网高质量的问答社区和创作者聚集的原创内容平台,于 2011 年 1 月正式上线,以「让人们更好的分享知识、经验和见解,找到自己的解答」为品牌使命。知乎凭借认真、专 … · 大家好! 我发现,在中国和新加坡很多人会把christian和protestant这两个概念混淆,把两个都叫做“基督教”。 在西方国家,所有信耶稣的,以旧约、新约为圣经的宗教都叫做christian。 … · sabemos que la versión anglo del nombre christian se acentúa en la primer sílaba, siendo la pronunciación christian. Ahora, tengo una duda con mi propio nombre, cristian. · i have seen various people use such phrases as “yours in the lord” or “god bless” at the end of their letters. Is it correct to use the phrase “with christian love” at the end of a letter? 克里斯蒂安·贝尔(christian bale),1974年1月30日出生于英国威尔士彭布罗克郡哈弗福德韦斯特,英国演员。 13岁时主演斯蒂芬·斯皮尔伯格执导的电影《太阳帝国》而成名,被英国影评人协会评为当 … · christian,所有的基督徒的统称,包括天主教、新教、东正教三大教派和其他一大堆的小教派; catholic,天主教,正统基督教会,梵蒂冈的教皇是他们的最高领袖; jesuit,耶稣会成员。 … 如何评价克里斯蒂安·贝尔(christian bale)的演技? - 知乎 电影 演员 克里斯蒂安·贝尔(christian bale) 如何看待/评价ta 电影表演 如何评价被戏称为萝卜丁的christian louboutin口红? 这个口红售价1000大洋,它贵在哪里好在哪里,为什么这么多女生趋之若鹜的希望得到它。







